Notice
Recent Posts
Recent Comments
Link
| 일 | 월 | 화 | 수 | 목 | 금 | 토 |
|---|---|---|---|---|---|---|
| 1 | 2 | 3 | ||||
| 4 | 5 | 6 | 7 | 8 | 9 | 10 |
| 11 | 12 | 13 | 14 | 15 | 16 | 17 |
| 18 | 19 | 20 | 21 | 22 | 23 | 24 |
| 25 | 26 | 27 | 28 | 29 | 30 | 31 |
Tags
- mnist
- Serialize
- 알고리즘
- c#
- C
- game dev
- 게임 수학
- Unity
- rendering
- C++
- 뉴럴네트워크
- unity #graphics
- Programming
- 게임 개발
- Game Development
- Unity #Android #Build
- 다익스트라
- 게임 물리
- untiy
- Addressables
- 유니티
- gamedev
- graphics
- 딥러닝
Archives
- Today
- Total
Typing diary
행렬식(determinant) 본문
2020. 12. 7
1) 행렬식의 의미

기하학적으론 선형변환에 의한 면적의 증가량을 의미한다.
즉 행렬A가 행렬B에 의해 선형변환 되었을 때,
행렬 BA의 열벡터 공간에서의 면적은 A의 열벡터 공간에서의 면적을 det(B)배 한것과 같다.

행력식이 0이라는 의미는 선형변환이 한 차원을 짓뭉갠다는 것을 의미한다.
이는 곧 행렬의 열벡터가 선형종속라는 것과 같다.
행렬식은 판별식이라고도 하는데 행렬A의 행렬식 det(A)=0이면 A의 역행렬은 존재하지 않는다.
즉 행렬식으로 역핵렬의 존재 여부를 판별할 수 있다.
2) 행렬식 구하는 법
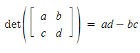
2x2행렬

3x3행렬

여인수(cofactor)

M(i,j)는 행렬에서 i행과 j열을 제외한 나머지 행렬의 행렬식을 의미한다.
ex)

nxn행렬

또는

'그래픽스, 게임 수학' 카테고리의 다른 글
| Raytracing (0) | 2022.08.21 |
|---|---|
| Backface Culling (0) | 2022.08.21 |
| LU 분해 (0) | 2022.08.21 |
| 확장 행렬과 가우스-조던 소거법 (0) | 2022.08.21 |
| 벡터 방정식 (0) | 2022.08.21 |